BIG BREAKING : रायगढ़ पुलिस महकमे में बड़ी ‘सर्जरी’, एसएसपी शशि मोहन सिंह ने 219 पुलिसकर्मियों का किया तबादला, देखें पूरी लिस्ट…

रायगढ़। जिला पुलिस कप्तान शशि मोहन सिंह (उमनि एवं वरिष्ठ पुलिस अधीक्षक) ने शनिवार को विभाग में अब तक की सबसे बड़ी प्रशासनिक सर्जरी की है। प्रशासनिक कसावट लाने और कानून व्यवस्था को सुदृढ़ करने के उद्देश्य से एक साथ 219 पुलिस अधिकारियों और कर्मचारियों के तबादले किए गए हैं।
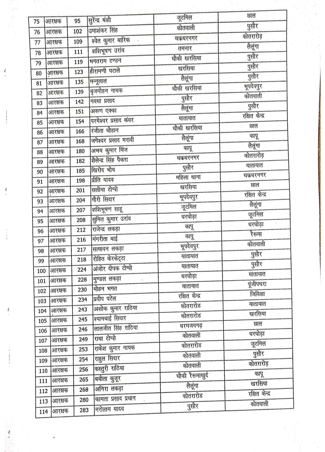
जारी आदेश के अनुसार, इस फेरबदल में उपनिरीक्षक (SI), सहायक उपनिरीक्षक (ASI), प्रधान आरक्षक और आरक्षकों को इधर से उधर किया गया है।
बड़े स्तर पर फेरबदल की मुख्य बातें:
- थाना प्रभारियों के सहयोगी बदले : कोतवाली, जूटमिल, पुसौर और पूंजीपथरा जैसे महत्वपूर्ण थानों में तैनात पुराने चेहरों को हटाकर नई जिम्मेदारी सौंपी गई है।
- सायबर सेल और यातायात में बदलाव : सायबर सेल में तकनीकी दक्षता बढ़ाने के लिए नए आरक्षकों की तैनाती की गई है, वहीं यातायात व्यवस्था को दुरुस्त करने के लिए भारी संख्या में आरक्षकों को मैदान में उतारा गया है।
- मैदानी थानों में नई ऊर्जा : ग्रामीण और दूरस्थ इलाकों जैसे कापू, लैलूंगा और धरमजयगढ़ के पुलिसकर्मियों को शहरी क्षेत्रों और रक्षित केंद्र भेजा गया है, जबकि शहर में जमे जवानों को फील्ड की जिम्मेदारी दी गई है।
प्रमुख अधिकारियों का नवीन पदस्थापन (झलकियां):






तत्काल प्रभाव से रवानगी के निर्देश : वरिष्ठ पुलिस अधीक्षक ने स्पष्ट निर्देश दिए हैं कि सभी संबंधित कर्मचारी तत्काल प्रभाव से अपनी नवीन पदस्थापना स्थल पर आमद दर्ज कराएं। पुलिस नियंत्रण कक्ष को भी निर्देशित किया गया है कि वे सभी की रवानगी और उपस्थिति की सूचना तत्काल मुख्यालय को प्रेषित करें।




